Algebrski ulomki so v bistvu samo naprednejša verzija navadnih ulomkov... Meer weergeven
Meld je aan om de inhoud te zienHet is gratis!
Toegang tot alle documenten
Verbeter je cijfers
Sluit je aan bij miljoenen studenten
Knowunity AI
Vakken
Triangle Congruence and Similarity Theorems
Triangle Properties and Classification
Linear Equations and Graphs
Geometric Angle Relationships
Trigonometric Functions and Identities
Equation Solving Techniques
Circle Geometry Fundamentals
Division Operations and Methods
Basic Differentiation Rules
Exponent and Logarithm Properties
Alle onderwerpen weergeven
Human Organ Systems
Reproductive Cell Cycles
Biological Sciences Subdisciplines
Cellular Energy Metabolism
Autotrophic Energy Processes
Inheritance Patterns and Principles
Biomolecular Structure and Organization
Cell Cycle and Division Mechanics
Cellular Organization and Development
Biological Structural Organization
Alle onderwerpen weergeven
Chemical Sciences and Applications
Atomic Structure and Composition
Molecular Electron Structure Representation
Atomic Electron Behavior
Matter Properties and Water
Mole Concept and Calculations
Gas Laws and Behavior
Periodic Table Organization
Chemical Thermodynamics Fundamentals
Chemical Bond Types and Properties
Alle onderwerpen weergeven
European Renaissance and Enlightenment
European Cultural Movements 800-1920
American Revolution Era 1763-1797
American Civil War 1861-1865
Global Imperial Systems
Mongol and Chinese Dynasties
U.S. Presidents and World Leaders
Historical Sources and Documentation
World Wars Era and Impact
World Religious Systems
Alle onderwerpen weergeven
Classic and Contemporary Novels
Literary Character Analysis
Rhetorical Theory and Practice
Classic Literary Narratives
Reading Analysis and Interpretation
Narrative Structure and Techniques
English Language Components
Influential English-Language Authors
Basic Sentence Structure
Narrative Voice and Perspective
Alle onderwerpen weergeven
205
•
Bijgewerkt Mar 21, 2026
•
Algebrski ulomki so v bistvu samo naprednejša verzija navadnih ulomkov... Meer weergeven







Algebrski ulomek izgleda tako: , kjer sta A(x) in B(x) polinoma. To pomeni, da lahko imaš v števcu izraz kot , v imenovalcu pa npr. .
Definicijsko območje je tvoj najboljši prijatelj pri tej snovi. To je množica vseh vrednosti x, za katere ulomek sploh obstaja. Ker z nič ne smemo deliti, mora biti imenovalec vedno različen od nič.
⚠️ Pozor! Če pozabiš na definicijsko območje, je naloga napačno rešena, tudi če je rezultat pravilen.
Za določitev definicijskega območja rešiš enačbo B(x) = 0 in ugotoviš, katere vrednosti x niso dovoljene. Te vrednosti izključiš iz množice realnih števil.

Krajšanje je temelj vsega - brez tega se ne da nič. Postopek je vedno isti: razstavi, določi pogoje, krajšaj.
Najprej razstaviš števec in imenovalec na prafaktorje. Uporabiš vse znane metode: izpostavljanje, razlika kvadratov, Vietovo pravilo. Nato iz razstavljene oblike določiš definicijsko območje.
Ključno pravilo: krajšaš lahko samo faktorje (tisto, kar se množi), nikoli pa ne smeš krajšati posameznih členov! Torej se NE DA krajšati.
💡 Pomni si: Vedno najprej razstavi, šele nato krajšaj. To ti bo prihranilo ogromno časa in napak.
Primer: pogoji: $x \neq 3, x \neq -2$

Množenje je preprosto: "števec s števcem, imenovalec z imenovalcem". Ampak ne zaskoči kar takoj! Najprej razstavi vse izraze in poskusi krajšati.
Formula:
Deljenje spremeniš v množenje z obratno vrednostjo:
🎯 Nasvet: Pri množenju lahko krajšaš "navzkrižno" med ulomki - torej števec enega z imenovalcem drugega.
Postopek je vedno isti: razstavi vse → določi pogoje → krajšaj → zmnoži preostalo. Če narediš razstavljanje na začetku, boš na koncu imel precej manj računanja.

To je najtežji del, ampak z dobrim sistemom ga boš obvladal. Potrebuješ skupni imenovalec, tako kot pri navadnih ulomkih.
Postopek v sedmih korakih:
Skupni imenovalec je produkt vseh različnih faktorjev. Če se faktor pojavi večkrat, vzameš tistega z najvišjo potenco.
⚠️ Pasti pri odštevanju: Ko odštevaš ulomek z več členi v števcu, celoten števec daj v oklepaj!

Nadaljujmo s primerom:
Skupni imenovalec je , ker sta faktorja različna. Razširiš prvi ulomek z in drugi z .
Dobiš:
Zdaj poenostaviš števec: razmnožiš oklepaje, pazljivo odšteješ (pozor na predznake!) in sešteješ podobne člene.
💪 Samozavest: Ta korak zahteva le osnovno znanje množenja polinomov. Počasi in natančno - zmoreš!
Končni rezultat: pogoji: $x \neq 2, x \neq -2$

Najpogostejše napake, ki se jim izogibaj:
Zlata pravila za uspeh:
🎯 Za teste: Rezultat pusti v razstavljeni obliki, če je kompleksen. Ponavadi je bolj pregleden kot razmnožena oblika.
Hitri pregled korakov: Določi pogoje → Razstavi → Krajšaj → Računaj → Poenostavi. Ta sistem deluje pri vseh nalogah z algebrskimi ulomki!
Onze AI Companion is een studentgerichte AI-tool die meer biedt dan alleen antwoorden. Gebouwd op miljoenen Knowunity bronnen, biedt het relevante informatie, gepersonaliseerde studieplannen, quizzes en inhoud direct in de chat, aangepast aan jouw individuele leertraject.
Je kunt de app downloaden via Google Play Store en Apple App Store.
Dat klopt! Geniet van gratis toegang tot leerinhoud, maak contact met medestudenten en krijg directe hulp – alles binnen handbereik.
App Store
Google Play
De app is heel makkelijk te gebruiken en goed ontworpen. Ik heb tot nu toe alles kunnen vinden waar ik naar zocht en heb veel kunnen leren van de presentaties! Ik ga de app zeker gebruiken voor een schoolopdracht! En natuurlijk helpt het ook veel als inspiratie.
Stefan S
iOS gebruiker
Deze app is echt geweldig. Er zijn zoveel aantekeningen en hulpmiddelen [...]. Mijn probleemvak is bijvoorbeeld Frans, en de app heeft zoveel opties voor hulp. Dankzij deze app ben ik beter geworden in Frans. Ik zou het iedereen aanraden.
Samantha Klich
Android gebruiker
Wow, ik ben echt onder de indruk. Ik probeerde de app gewoon omdat ik hem vaak geadverteerd had gezien en was absoluut verbaasd. Deze app is DE HULP die je wilt voor school en bovenal biedt hij zoveel dingen, zoals oefeningen en factsheets, die mij persoonlijk HEEL erg hebben geholpen.
Anna
iOS gebruiker
Beste app ter wereld! geen woorden want het is te goed
Thomas R
iOS gebruiker
Gewoon geweldig. Laat me 10x beter leren, deze app is een vlotte 10/10. Ik raad het iedereen aan. Ik kan aantekeningen bekijken en zoeken. Ik kan ze opslaan in de vakmap. Ik kan ze altijd herhalen als ik terugkom. Als je deze app nog niet hebt geprobeerd, mis je echt iets.
Basil
Android gebruiker
Deze app heeft me zoveel zekerder gemaakt over mijn examenvoorbereiding, niet alleen door mijn zelfvertrouwen te boosten met functies waarmee je contact kunt maken met anderen en je minder alleen voelt, maar ook door de manier waarop de app zelf erop gericht is je beter te laten voelen. Het is makkelijk om doorheen te navigeren, leuk om te gebruiken, en nuttig voor iedereen die op welke manier dan ook worstelt.
David K
iOS gebruiker
De app is gewoon geweldig! Ik hoef alleen maar het onderwerp in de zoekbalk in te voeren en ik krijg supersnel antwoord. Ik hoef geen 10 YouTube-video's te kijken om iets te begrijpen, dus ik bespaar tijd. Zeer aanbevolen!
Sudenaz Ocak
Android gebruiker
Op school was ik echt slecht in wiskunde, maar dankzij de app gaat het nu veel beter. Ik ben zo dankbaar dat jullie de app hebben gemaakt.
Greenlight Bonnie
Android gebruiker
zeer betrouwbare app om je ideeën over wiskunde, Engels en andere gerelateerde onderwerpen in je werk te helpen en te ontwikkelen. gebruik deze app alsjeblieft als je ergens moeite mee hebt, deze app is essentieel daarvoor. had ik maar eerder een review geschreven. en het is ook gratis dus maak je daar geen zorgen over.
Rohan U
Android gebruiker
Ik weet dat veel apps nepaccounts gebruiken om hun reviews op te krikken maar deze app verdient het allemaal. Eerst haalde ik een 4 voor mijn Engels examens en deze keer kreeg ik een 7. Ik wist niet eens van deze app tot drie dagen voor het examen en het heeft ENORM geholpen. Vertrouw me alsjeblieft en gebruik het want ik weet zeker dat jij ook vooruitgang zult zien.
Xander S
iOS gebruiker
DE QUIZZES EN FLASHCARDS ZIJN ZO HANDIG EN IK HOU VAN Knowunity AI. HET IS OOK LETTERLIJK ZOALS CHATGPT MAAR SLIMMER!! HEEFT ME GEHOLPEN MET MIJN MASCARA PROBLEMEN OOK!! EN MET MIJN ECHTE VAKKEN! NATUURLIJK 😍😁😲🤑💗✨🎀😮
Elisha
iOS gebruiker
Deze app is echt de beste. Ik vind herhaling zo saai maar deze app maakt het zo makkelijk om alles te organiseren en dan kun je de gratis AI vragen om jezelf te testen, zo goed en je kunt makkelijk je eigen spullen uploaden. raad het zeker aan als iemand die nu proefexamens doet
Paul T
iOS gebruiker
De app is heel makkelijk te gebruiken en goed ontworpen. Ik heb tot nu toe alles kunnen vinden waar ik naar zocht en heb veel kunnen leren van de presentaties! Ik ga de app zeker gebruiken voor een schoolopdracht! En natuurlijk helpt het ook veel als inspiratie.
Stefan S
iOS gebruiker
Deze app is echt geweldig. Er zijn zoveel aantekeningen en hulpmiddelen [...]. Mijn probleemvak is bijvoorbeeld Frans, en de app heeft zoveel opties voor hulp. Dankzij deze app ben ik beter geworden in Frans. Ik zou het iedereen aanraden.
Samantha Klich
Android gebruiker
Wow, ik ben echt onder de indruk. Ik probeerde de app gewoon omdat ik hem vaak geadverteerd had gezien en was absoluut verbaasd. Deze app is DE HULP die je wilt voor school en bovenal biedt hij zoveel dingen, zoals oefeningen en factsheets, die mij persoonlijk HEEL erg hebben geholpen.
Anna
iOS gebruiker
Beste app ter wereld! geen woorden want het is te goed
Thomas R
iOS gebruiker
Gewoon geweldig. Laat me 10x beter leren, deze app is een vlotte 10/10. Ik raad het iedereen aan. Ik kan aantekeningen bekijken en zoeken. Ik kan ze opslaan in de vakmap. Ik kan ze altijd herhalen als ik terugkom. Als je deze app nog niet hebt geprobeerd, mis je echt iets.
Basil
Android gebruiker
Deze app heeft me zoveel zekerder gemaakt over mijn examenvoorbereiding, niet alleen door mijn zelfvertrouwen te boosten met functies waarmee je contact kunt maken met anderen en je minder alleen voelt, maar ook door de manier waarop de app zelf erop gericht is je beter te laten voelen. Het is makkelijk om doorheen te navigeren, leuk om te gebruiken, en nuttig voor iedereen die op welke manier dan ook worstelt.
David K
iOS gebruiker
De app is gewoon geweldig! Ik hoef alleen maar het onderwerp in de zoekbalk in te voeren en ik krijg supersnel antwoord. Ik hoef geen 10 YouTube-video's te kijken om iets te begrijpen, dus ik bespaar tijd. Zeer aanbevolen!
Sudenaz Ocak
Android gebruiker
Op school was ik echt slecht in wiskunde, maar dankzij de app gaat het nu veel beter. Ik ben zo dankbaar dat jullie de app hebben gemaakt.
Greenlight Bonnie
Android gebruiker
zeer betrouwbare app om je ideeën over wiskunde, Engels en andere gerelateerde onderwerpen in je werk te helpen en te ontwikkelen. gebruik deze app alsjeblieft als je ergens moeite mee hebt, deze app is essentieel daarvoor. had ik maar eerder een review geschreven. en het is ook gratis dus maak je daar geen zorgen over.
Rohan U
Android gebruiker
Ik weet dat veel apps nepaccounts gebruiken om hun reviews op te krikken maar deze app verdient het allemaal. Eerst haalde ik een 4 voor mijn Engels examens en deze keer kreeg ik een 7. Ik wist niet eens van deze app tot drie dagen voor het examen en het heeft ENORM geholpen. Vertrouw me alsjeblieft en gebruik het want ik weet zeker dat jij ook vooruitgang zult zien.
Xander S
iOS gebruiker
DE QUIZZES EN FLASHCARDS ZIJN ZO HANDIG EN IK HOU VAN Knowunity AI. HET IS OOK LETTERLIJK ZOALS CHATGPT MAAR SLIMMER!! HEEFT ME GEHOLPEN MET MIJN MASCARA PROBLEMEN OOK!! EN MET MIJN ECHTE VAKKEN! NATUURLIJK 😍😁😲🤑💗✨🎀😮
Elisha
iOS gebruiker
Deze app is echt de beste. Ik vind herhaling zo saai maar deze app maakt het zo makkelijk om alles te organiseren en dan kun je de gratis AI vragen om jezelf te testen, zo goed en je kunt makkelijk je eigen spullen uploaden. raad het zeker aan als iemand die nu proefexamens doet
Paul T
iOS gebruiker
Algebrski ulomki so v bistvu samo naprednejša verzija navadnih ulomkov - namesto številk imajo v števcu in imenovalcu algebrske izraze. Če že znaš računati z navadnimi ulomki, se boš tudi tega hitro naučil!

Toegang tot alle documenten
Verbeter je cijfers
Sluit je aan bij miljoenen studenten
Algebrski ulomek izgleda tako: , kjer sta A(x) in B(x) polinoma. To pomeni, da lahko imaš v števcu izraz kot , v imenovalcu pa npr. .
Definicijsko območje je tvoj najboljši prijatelj pri tej snovi. To je množica vseh vrednosti x, za katere ulomek sploh obstaja. Ker z nič ne smemo deliti, mora biti imenovalec vedno različen od nič.
⚠️ Pozor! Če pozabiš na definicijsko območje, je naloga napačno rešena, tudi če je rezultat pravilen.
Za določitev definicijskega območja rešiš enačbo B(x) = 0 in ugotoviš, katere vrednosti x niso dovoljene. Te vrednosti izključiš iz množice realnih števil.

Toegang tot alle documenten
Verbeter je cijfers
Sluit je aan bij miljoenen studenten
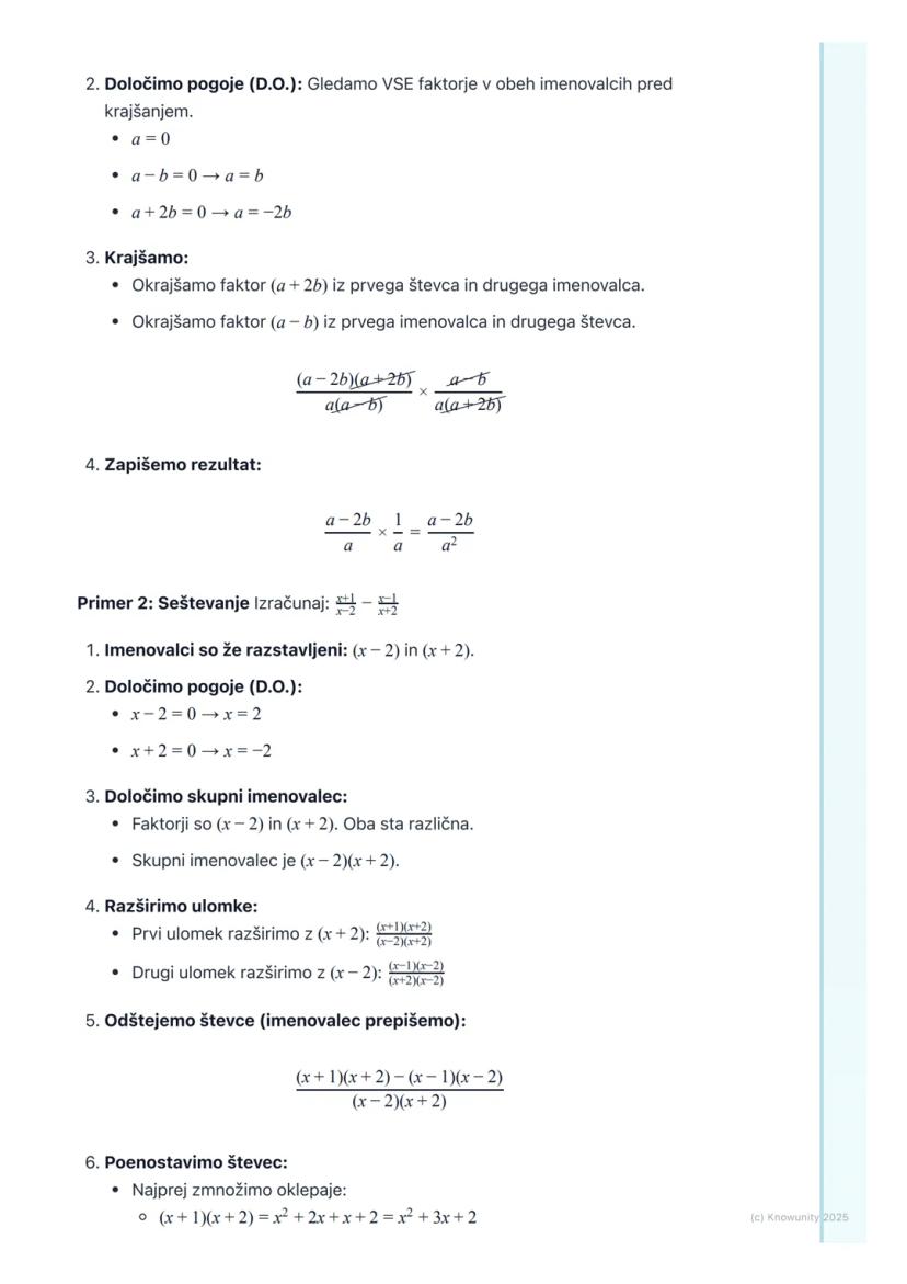
Krajšanje je temelj vsega - brez tega se ne da nič. Postopek je vedno isti: razstavi, določi pogoje, krajšaj.
Najprej razstaviš števec in imenovalec na prafaktorje. Uporabiš vse znane metode: izpostavljanje, razlika kvadratov, Vietovo pravilo. Nato iz razstavljene oblike določiš definicijsko območje.
Ključno pravilo: krajšaš lahko samo faktorje (tisto, kar se množi), nikoli pa ne smeš krajšati posameznih členov! Torej se NE DA krajšati.
💡 Pomni si: Vedno najprej razstavi, šele nato krajšaj. To ti bo prihranilo ogromno časa in napak.
Primer: pogoji: $x \neq 3, x \neq -2$

Toegang tot alle documenten
Verbeter je cijfers
Sluit je aan bij miljoenen studenten
Množenje je preprosto: "števec s števcem, imenovalec z imenovalcem". Ampak ne zaskoči kar takoj! Najprej razstavi vse izraze in poskusi krajšati.
Formula:
Deljenje spremeniš v množenje z obratno vrednostjo:
🎯 Nasvet: Pri množenju lahko krajšaš "navzkrižno" med ulomki - torej števec enega z imenovalcem drugega.
Postopek je vedno isti: razstavi vse → določi pogoje → krajšaj → zmnoži preostalo. Če narediš razstavljanje na začetku, boš na koncu imel precej manj računanja.

Toegang tot alle documenten
Verbeter je cijfers
Sluit je aan bij miljoenen studenten
To je najtežji del, ampak z dobrim sistemom ga boš obvladal. Potrebuješ skupni imenovalec, tako kot pri navadnih ulomkih.
Postopek v sedmih korakih:
Skupni imenovalec je produkt vseh različnih faktorjev. Če se faktor pojavi večkrat, vzameš tistega z najvišjo potenco.
⚠️ Pasti pri odštevanju: Ko odštevaš ulomek z več členi v števcu, celoten števec daj v oklepaj!

Toegang tot alle documenten
Verbeter je cijfers
Sluit je aan bij miljoenen studenten
Nadaljujmo s primerom:
Skupni imenovalec je , ker sta faktorja različna. Razširiš prvi ulomek z in drugi z .
Dobiš:
Zdaj poenostaviš števec: razmnožiš oklepaje, pazljivo odšteješ (pozor na predznake!) in sešteješ podobne člene.
💪 Samozavest: Ta korak zahteva le osnovno znanje množenja polinomov. Počasi in natančno - zmoreš!
Končni rezultat: pogoji: $x \neq 2, x \neq -2$

Toegang tot alle documenten
Verbeter je cijfers
Sluit je aan bij miljoenen studenten
Najpogostejše napake, ki se jim izogibaj:
Zlata pravila za uspeh:
🎯 Za teste: Rezultat pusti v razstavljeni obliki, če je kompleksen. Ponavadi je bolj pregleden kot razmnožena oblika.
Hitri pregled korakov: Določi pogoje → Razstavi → Krajšaj → Računaj → Poenostavi. Ta sistem deluje pri vseh nalogah z algebrskimi ulomki!
Onze AI Companion is een studentgerichte AI-tool die meer biedt dan alleen antwoorden. Gebouwd op miljoenen Knowunity bronnen, biedt het relevante informatie, gepersonaliseerde studieplannen, quizzes en inhoud direct in de chat, aangepast aan jouw individuele leertraject.
Je kunt de app downloaden via Google Play Store en Apple App Store.
Dat klopt! Geniet van gratis toegang tot leerinhoud, maak contact met medestudenten en krijg directe hulp – alles binnen handbereik.
3
Slimme Tools NIEUW
Zet deze aantekening om in: ✓ 50+ Oefenvragen ✓ Interactieve Flashcards ✓ Volledig proefexamen ✓ Essay Outlines
App Store
Google Play
De app is heel makkelijk te gebruiken en goed ontworpen. Ik heb tot nu toe alles kunnen vinden waar ik naar zocht en heb veel kunnen leren van de presentaties! Ik ga de app zeker gebruiken voor een schoolopdracht! En natuurlijk helpt het ook veel als inspiratie.
Stefan S
iOS gebruiker
Deze app is echt geweldig. Er zijn zoveel aantekeningen en hulpmiddelen [...]. Mijn probleemvak is bijvoorbeeld Frans, en de app heeft zoveel opties voor hulp. Dankzij deze app ben ik beter geworden in Frans. Ik zou het iedereen aanraden.
Samantha Klich
Android gebruiker
Wow, ik ben echt onder de indruk. Ik probeerde de app gewoon omdat ik hem vaak geadverteerd had gezien en was absoluut verbaasd. Deze app is DE HULP die je wilt voor school en bovenal biedt hij zoveel dingen, zoals oefeningen en factsheets, die mij persoonlijk HEEL erg hebben geholpen.
Anna
iOS gebruiker
Beste app ter wereld! geen woorden want het is te goed
Thomas R
iOS gebruiker
Gewoon geweldig. Laat me 10x beter leren, deze app is een vlotte 10/10. Ik raad het iedereen aan. Ik kan aantekeningen bekijken en zoeken. Ik kan ze opslaan in de vakmap. Ik kan ze altijd herhalen als ik terugkom. Als je deze app nog niet hebt geprobeerd, mis je echt iets.
Basil
Android gebruiker
Deze app heeft me zoveel zekerder gemaakt over mijn examenvoorbereiding, niet alleen door mijn zelfvertrouwen te boosten met functies waarmee je contact kunt maken met anderen en je minder alleen voelt, maar ook door de manier waarop de app zelf erop gericht is je beter te laten voelen. Het is makkelijk om doorheen te navigeren, leuk om te gebruiken, en nuttig voor iedereen die op welke manier dan ook worstelt.
David K
iOS gebruiker
De app is gewoon geweldig! Ik hoef alleen maar het onderwerp in de zoekbalk in te voeren en ik krijg supersnel antwoord. Ik hoef geen 10 YouTube-video's te kijken om iets te begrijpen, dus ik bespaar tijd. Zeer aanbevolen!
Sudenaz Ocak
Android gebruiker
Op school was ik echt slecht in wiskunde, maar dankzij de app gaat het nu veel beter. Ik ben zo dankbaar dat jullie de app hebben gemaakt.
Greenlight Bonnie
Android gebruiker
zeer betrouwbare app om je ideeën over wiskunde, Engels en andere gerelateerde onderwerpen in je werk te helpen en te ontwikkelen. gebruik deze app alsjeblieft als je ergens moeite mee hebt, deze app is essentieel daarvoor. had ik maar eerder een review geschreven. en het is ook gratis dus maak je daar geen zorgen over.
Rohan U
Android gebruiker
Ik weet dat veel apps nepaccounts gebruiken om hun reviews op te krikken maar deze app verdient het allemaal. Eerst haalde ik een 4 voor mijn Engels examens en deze keer kreeg ik een 7. Ik wist niet eens van deze app tot drie dagen voor het examen en het heeft ENORM geholpen. Vertrouw me alsjeblieft en gebruik het want ik weet zeker dat jij ook vooruitgang zult zien.
Xander S
iOS gebruiker
DE QUIZZES EN FLASHCARDS ZIJN ZO HANDIG EN IK HOU VAN Knowunity AI. HET IS OOK LETTERLIJK ZOALS CHATGPT MAAR SLIMMER!! HEEFT ME GEHOLPEN MET MIJN MASCARA PROBLEMEN OOK!! EN MET MIJN ECHTE VAKKEN! NATUURLIJK 😍😁😲🤑💗✨🎀😮
Elisha
iOS gebruiker
Deze app is echt de beste. Ik vind herhaling zo saai maar deze app maakt het zo makkelijk om alles te organiseren en dan kun je de gratis AI vragen om jezelf te testen, zo goed en je kunt makkelijk je eigen spullen uploaden. raad het zeker aan als iemand die nu proefexamens doet
Paul T
iOS gebruiker
De app is heel makkelijk te gebruiken en goed ontworpen. Ik heb tot nu toe alles kunnen vinden waar ik naar zocht en heb veel kunnen leren van de presentaties! Ik ga de app zeker gebruiken voor een schoolopdracht! En natuurlijk helpt het ook veel als inspiratie.
Stefan S
iOS gebruiker
Deze app is echt geweldig. Er zijn zoveel aantekeningen en hulpmiddelen [...]. Mijn probleemvak is bijvoorbeeld Frans, en de app heeft zoveel opties voor hulp. Dankzij deze app ben ik beter geworden in Frans. Ik zou het iedereen aanraden.
Samantha Klich
Android gebruiker
Wow, ik ben echt onder de indruk. Ik probeerde de app gewoon omdat ik hem vaak geadverteerd had gezien en was absoluut verbaasd. Deze app is DE HULP die je wilt voor school en bovenal biedt hij zoveel dingen, zoals oefeningen en factsheets, die mij persoonlijk HEEL erg hebben geholpen.
Anna
iOS gebruiker
Beste app ter wereld! geen woorden want het is te goed
Thomas R
iOS gebruiker
Gewoon geweldig. Laat me 10x beter leren, deze app is een vlotte 10/10. Ik raad het iedereen aan. Ik kan aantekeningen bekijken en zoeken. Ik kan ze opslaan in de vakmap. Ik kan ze altijd herhalen als ik terugkom. Als je deze app nog niet hebt geprobeerd, mis je echt iets.
Basil
Android gebruiker
Deze app heeft me zoveel zekerder gemaakt over mijn examenvoorbereiding, niet alleen door mijn zelfvertrouwen te boosten met functies waarmee je contact kunt maken met anderen en je minder alleen voelt, maar ook door de manier waarop de app zelf erop gericht is je beter te laten voelen. Het is makkelijk om doorheen te navigeren, leuk om te gebruiken, en nuttig voor iedereen die op welke manier dan ook worstelt.
David K
iOS gebruiker
De app is gewoon geweldig! Ik hoef alleen maar het onderwerp in de zoekbalk in te voeren en ik krijg supersnel antwoord. Ik hoef geen 10 YouTube-video's te kijken om iets te begrijpen, dus ik bespaar tijd. Zeer aanbevolen!
Sudenaz Ocak
Android gebruiker
Op school was ik echt slecht in wiskunde, maar dankzij de app gaat het nu veel beter. Ik ben zo dankbaar dat jullie de app hebben gemaakt.
Greenlight Bonnie
Android gebruiker
zeer betrouwbare app om je ideeën over wiskunde, Engels en andere gerelateerde onderwerpen in je werk te helpen en te ontwikkelen. gebruik deze app alsjeblieft als je ergens moeite mee hebt, deze app is essentieel daarvoor. had ik maar eerder een review geschreven. en het is ook gratis dus maak je daar geen zorgen over.
Rohan U
Android gebruiker
Ik weet dat veel apps nepaccounts gebruiken om hun reviews op te krikken maar deze app verdient het allemaal. Eerst haalde ik een 4 voor mijn Engels examens en deze keer kreeg ik een 7. Ik wist niet eens van deze app tot drie dagen voor het examen en het heeft ENORM geholpen. Vertrouw me alsjeblieft en gebruik het want ik weet zeker dat jij ook vooruitgang zult zien.
Xander S
iOS gebruiker
DE QUIZZES EN FLASHCARDS ZIJN ZO HANDIG EN IK HOU VAN Knowunity AI. HET IS OOK LETTERLIJK ZOALS CHATGPT MAAR SLIMMER!! HEEFT ME GEHOLPEN MET MIJN MASCARA PROBLEMEN OOK!! EN MET MIJN ECHTE VAKKEN! NATUURLIJK 😍😁😲🤑💗✨🎀😮
Elisha
iOS gebruiker
Deze app is echt de beste. Ik vind herhaling zo saai maar deze app maakt het zo makkelijk om alles te organiseren en dan kun je de gratis AI vragen om jezelf te testen, zo goed en je kunt makkelijk je eigen spullen uploaden. raad het zeker aan als iemand die nu proefexamens doet
Paul T
iOS gebruiker