Geschiedenis van de Wereldoorlogen en Europa

2

0

P

Pien Rozenburg

1-12-2025

Geschiedenis

Geschiedenis wereldoorlog

59

1 dec 2025

13 pagina's

Geschiedenis van de Wereldoorlogen en Europa

P

Pien Rozenburg

@pienrozenburg

De periode 1914-1945 was een tijd van extreme spanning en... Meer weergeven

Page 1
Page 2
Page 3
Page 4
Page 5
Page 6
Page 7
Page 8
Page 9
Page 10
1 / 10
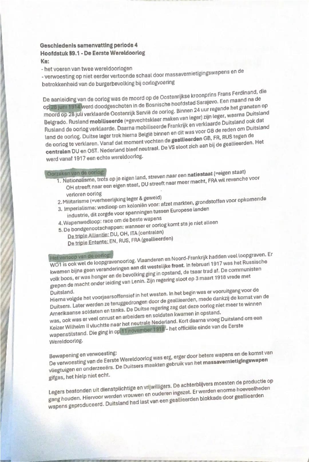
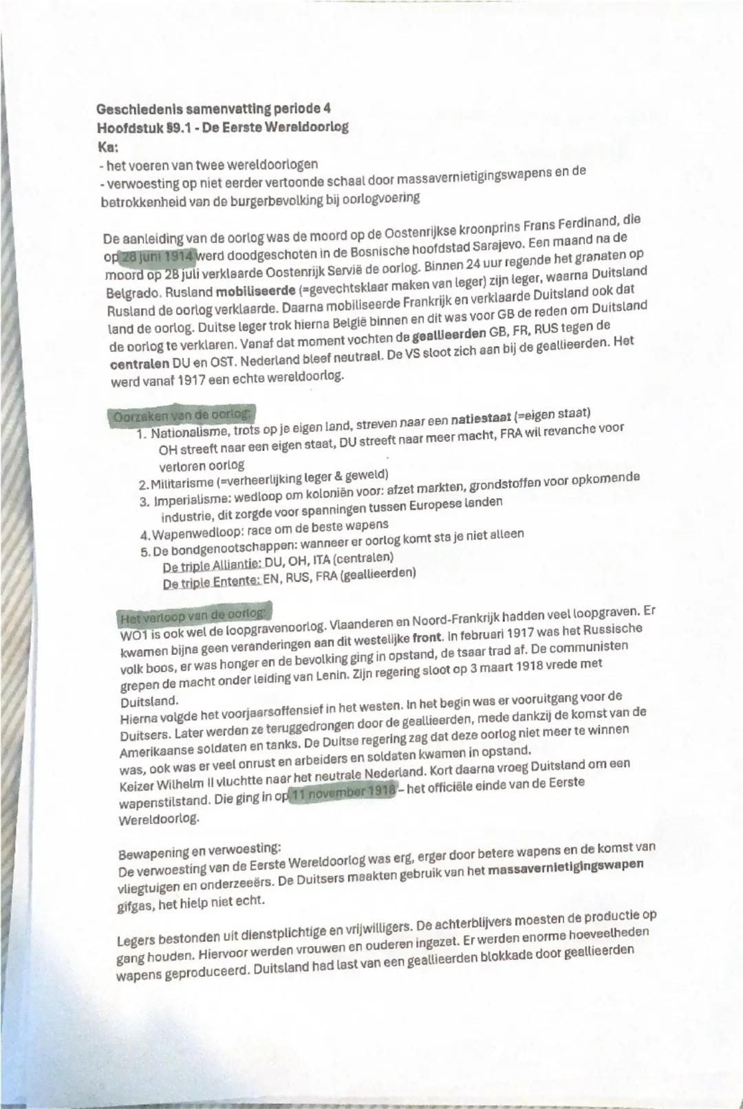
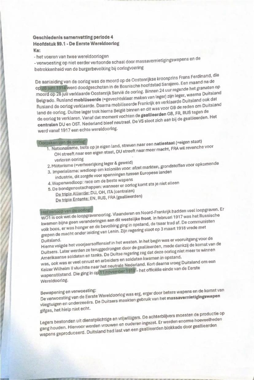
Geschiedenis samenvatting periode 4
Hoofdstuk 59.1-De Eerste Wereldoorlog
Ka:
- het voeren van twee wereldoorlogen
- verwoesting op niet eer

De Eerste Wereldoorlog (1914-1918)

Alles begon met één pistoolschot in Sarajevo. Op 28 juni 1914 werd kroonprins Frans Ferdinand vermoord, en binnen een maand vochten alle Europese grootmachten tegen elkaar. Door een web van bondgenootschappen escaleerde een lokaal conflict tot een wereldoorlog.

De echte oorzaken lagen dieper: nationalisme (trots op je eigen land), militarisme (verheerlijking van het leger), imperialisme (wedloop om koloniën) en een gevaarlijke wapenwedloop. Europa was een kruitvat dat wachtte op een vonk.

De oorlog werd vooral bekend als de loopgravenoorlog. Aan het westelijke front in Frankrijk en België veranderde jaren vrijwel niets - soldaten zaten vastgeklemd in modderige loopgraven. De doorbraak kwam toen Amerika in 1917 meedeed en Rusland juist uitstapte na de communistische revolutie.

Wist je dat: Deze oorlog introduceerde gifgas als massavernietigingswapen, maar het hielp de Duitsers uiteindelijk niet om te winnen.

Geschiedenis samenvatting periode 4
Hoofdstuk 59.1-De Eerste Wereldoorlog
Ka:
- het voeren van twee wereldoorlogen
- verwoesting op niet eer

Gevolgen van WO1 en de Economische Crisis

De Vrede van Versailles (1919) vernederde Duitsland compleet. Ze kregen de volledige schuld, moesten enorme schadevergoedingen betalen, verloren 10% van hun grondgebied en mochten nauwelijks nog een leger hebben. Dit zorgde voor woede bij de Duitse bevolking en de Dolkstootlegende ontstond - het verhaal dat Duitsland 'in de rug was gestoken' door politici en joden.

Na een korte periode van bloei (de Roaring Twenties) sloeg het noodlot toe. Op Zwarte Donderdag (24 oktober 1929) stortte de Amerikaanse beurs in. Iedereen verkocht panisch hun aandelen en de crisis verspreidde zich als een olievlek over de wereld.

De Grote Depressie ontstond door overproductie en te veel kopen op krediet. Bedrijven gingen failliet, werkloosheid steeg enorm en de koopkracht zakte weg. Amerika trok geld terug uit Duitsland, waardoor ook Frankrijk en Groot-Brittannië in problemen kwamen.

Belangrijk: Deze crisis maakte de opkomst van Hitler mogelijk - mensen zochten naar extreme oplossingen voor hun problemen.

Geschiedenis samenvatting periode 4
Hoofdstuk 59.1-De Eerste Wereldoorlog
Ka:
- het voeren van twee wereldoorlogen
- verwoesting op niet eer

Totalitaire Systemen: Communisme en Fascisme

Drie gevaarlijke ideologieën grepen de macht in verschillende landen. Lenin vestigde in 1917 een communistische dictatuur in Rusland laterdeSovjetUnielater de Sovjet-Unie. Zijn opvolger Stalin forceerde de collectivisatie van de landbouw, wat tot miljoenen doden leidde door hongersnood (Holodomor).

In Italië richtte Mussolini in 1919 de fascistische beweging op, gericht op nationalistische trots en het herstellen van de glorie van het Romeinse Rijk. Hij was minder racistisch dan Hitler, maar wel even gewelddadig tegen tegenstanders.

Adolf Hitler werd in 1933 leider van Duitsland en introduceerde het nationaalsocialisme (nazisme). Dit was het meest extreme systeem: antisemitisch, racistisch en gericht op Duitse superioriteit. Door gelijkschakeling moest iedereen de nazi-ideologie volgen.

Alle drie de systemen waren antidemokratisch en totalitair - de staat controleerde letterlijk alles. Ze gebruikten massaorganisaties, persoonsverheerlijking van de leider en concentratiekampen voor tegenstanders.

Herken de symbolen: Fasces (fascisme), hakenkruis (nazisme), hamer en sikkel (communisme).

Geschiedenis samenvatting periode 4
Hoofdstuk 59.1-De Eerste Wereldoorlog
Ka:
- het voeren van twee wereldoorlogen
- verwoesting op niet eer

Propaganda en het Begin van WO2

Totalitaire regimes waren meesters in propaganda. Ze richtten massaorganisaties op zoals de Hitlerjugend voor jongeren en het Arbeidsfront voor arbeiders. Radio was hun belangrijkste wapen - het bereikte miljoenen mensen tegelijk, ook analfabeten.

De Tweede Wereldoorlog begon door de agressie van nazi-Duitsland en Japan. Hitler wilde revanche voor WO1 en lebensraum (leefruimte) in Oost-Europa. Japan viel Pearl Harbor aan op 7 december 1941, waardoor Amerika de oorlog in werd gesleept.

Europa had gefaald om Hitler te stoppen. Amerika koos voor isolationisme en de Volkenbond was zwak. Groot-Brittannië voerde een appeasementpolitiek - conflicten vermijden door toe te geven. Op de Conferentie van München (1938) mocht Hitler het Sudetenland innemen in ruil voor valse beloftes over vrede.

Het keerpunt kwam op 1 september 1939 toen Duitsland Polen binnenvielen. Hitler had een niet-aanvalsverdrag met Stalin gesloten om Polen te verdelen. Nu verklaarden Groot-Brittannië en Frankrijk eindelijk de oorlog.

Feit: De Anschluss (1938) betekende de annexatie van Oostenrijk - Hitler's eerste grote uitbreiding.

Geschiedenis samenvatting periode 4
Hoofdstuk 59.1-De Eerste Wereldoorlog
Ka:
- het voeren van twee wereldoorlogen
- verwoesting op niet eer

De Tweede Wereldoorlog en de Holocaust

De oorlog begon met Duitse successen dankzij de Blitzkrieg (bliksemoorlog). Op 10 mei 1940 vielen ze Nederland binnen. Later koos Hitler voor een riskante tweefrontenoorlog tegen zowel het westen als de Sovjet-Unie.

De geallieerden VS,GrootBrittannie¨,SovjetUnieVS, Groot-Brittannië, Sovjet-Unie wonnen uiteindelijk dankzij hun grotere wapenproductie. D-Day (6 juni 1944) bracht Amerikaanse troepen naar Normandië. Op 8 mei 1945 gaf Duitsland zich over, na Hitlers zelfmoord.

De Holocaust toont hoe racisme en discriminatie kunnen leiden tot genocide. Joden werden eerst geïsoleerd in getto's, daarna gedeporteerd via doorgangskampen naar vernietigingskampen zoals Sobibor. Circa 6 miljoen joden werden systematisch vermoord.

Dit genocide begon met vooroordelen en antisemitisme. Joden werden gezien als zondebokken en beschuldigd van allerlei problemen. De Kristalnacht (1938) was het begin van systematische vervolging. De Endlösung (eindoplossing) betekende de complete uitroeiing.

Belangrijke les: De Holocaust laat zien hoe gewone mensen medeplichtig kunnen worden aan genocide door wegkijken en meewerken.

Geschiedenis samenvatting periode 4
Hoofdstuk 59.1-De Eerste Wereldoorlog
Ka:
- het voeren van twee wereldoorlogen
- verwoesting op niet eer

De Bezetting van Nederland

Nederland hoopte neutraal te blijven, maar op 10 mei 1940 kwam de Duitse invasie. Na vijf dagen gaf het Nederlandse leger zich over. Seyss-Inquart werd rijkscommissaris en schafte democratie en rechtsstaat af.

Voor veel Nederlanders was het aanvankelijk geen ramp - Duitsers zagen ons als 'Germaans broedervolk'. Maar joodse Nederlanders werden stap voor stap geïsoleerd: ontslag uit banen, aparte scholen, gele ster en uiteindelijk deportatie naar kampen. Slechts 5000 van de gedeporteerde joden keerden terug.

Naarmate de oorlog slechter verliep voor Duitsland, werd de onderdrukking erger. Honderdduizenden mannen moesten naar Duitsland voor dwangarbeid. Na de bevrijding van Zuid-Nederland begon de Hongerwinter (1944-1945) in het westen.

De meeste Nederlanders pasten zich aan, maar er was ook verzet: de Februaristaking (1941), de April-meistaking tegen dwangarbeid en de spoorwegstaking. Ook hielpen veel mensen onderdulkers. Ongeveer 5% was pro-Duits en lid van de NSB onder Anton Mussert.

Vergeet niet: 5 mei 1945 was de bevrijding - ruim 200.000 Nederlanders waren omgekomen.

Geschiedenis samenvatting periode 4
Hoofdstuk 59.1-De Eerste Wereldoorlog
Ka:
- het voeren van twee wereldoorlogen
- verwoesting op niet eer

De Republiek van Weimar en Nazi-Duitsland

Na WO1 werd Duitsland de Republiek van Weimar - een parlementaire democratie. Maar het vertrouwen was zwak door de Spartakusopstand (1919), het Verdrag van Versailles en economische problemen. Toen Frankrijk het Roergebied bezette, werd de situatie nog erger.

Het Dawesplan hielp tijdelijk - Amerika leende geld aan Duitsland. Maar na de beurskrach van 1929 werd alles veel erger. Massale werkloosheid en politieke chaos maakten de weg vrij voor extremistische partijen.

Hitler profiteerde perfect van deze chaos. Zijn NSDAP behaalde in 1932 een meerderheid. In zijn boek Mein Kampf (1925) gaf hij joden de schuld van Duitslands nederlaag. Hij beloofde werk, welvaart en een sterke Volksgemeinschaft.

Na de Rijksdagbrand (1933) schafte Hitler via de Machtigingswet de grondwet af en vestigde een totalitaire dictatuur. Joseph Goebbels leidde het ministerie van Propaganda en begon de nazificatie van de samenleving.

Waarschuwing: Hitler kwam aan de macht via democratische verkiezingen - democratie moet altijd worden beschermd tegen extremisme.

Geschiedenis samenvatting periode 4
Hoofdstuk 59.1-De Eerste Wereldoorlog
Ka:
- het voeren van twee wereldoorlogen
- verwoesting op niet eer

Duitsland Valt Uiteen en de Koude Oorlog

Na 8 mei 1945 (Stunde Null) moest Duitsland compleet opnieuw beginnen. De geallieerden deelden Duitsland en Berlijn op in vier sectoren. Amerika startte denazificatie - Duitsers werden gedwongen de nazi-misdaden onder ogen te zien.

Europa werd verdeeld in twee invloedssferen: het Westblok (Amerika) en Oostblok SovjetUnieSovjet-Unie. President Truman kondigde de Trumandoctrine af om landen te helpen die door het communisme werden bedreigd. Ook kwam er Marshallhulp voor wederopbouw.

Toen Stalin West-Berlijn blokkeerde (1948), organiseerden de geallieerden een luchtbrug. Stalin wilde geen vliegtuigen neerschieten omdat dat WO3 zou betekenen. In mei 1949 gaf hij op en werd Duitsland definitief gesplitst.

West-Duitsland (BRD) werd kapitalistisch en democratisch onder Konrad Adenauer. Het Wirtschaftswunder (economisch wonder) bracht snelle welvaart. Oost-Duitsland (DDR) werd een communistische dictatuur onder Walter Ulbricht. De Stasi (geheime politie) controleerde iedereen.

Belangrijk: In 1953 sloeg het Rode Leger de volksopstand in Oost-Duitsland neer - dit toonde de harde realiteit van het communisme.

Geschiedenis samenvatting periode 4
Hoofdstuk 59.1-De Eerste Wereldoorlog
Ka:
- het voeren van twee wereldoorlogen
- verwoesting op niet eer

De Berlijnse Muur en de Val van het Communisme

In 1961 bouwde Oost-Duitsland de Berlijnse Muur om vluchtelingen tegen te houden. Dit redde de DDR van leegloop, maar symboliseerde ook de verdeelde wereld. Na de Cubacrisis (1962) kwam er détente (ontspanning) tussen VS en Sovjet-Unie.

Willy Brandt werd in 1969 bondskanselier van West-Duitsland en voerde Ostpolitik - betere relaties met Oost-Europa. In 1972 erkenden beide Duitse staten elkaar officieel en mochten West-Duitsers eindelijk naar het oosten reizen.

Het einde kwam toen Gorbatsjov (1985) leider werd van de Sovjet-Unie. Hij introduceerde glasnost (openheid) en perestrojka (hervorming) omdat het slecht ging met de economie. In 1989 (het wonderjaar) vielen alle communistische regimes in Oost-Europa.

De val van de Berlijnse Muur (9 november 1989) was het symbolische einde van de Koude Oorlog. Oost-Duitsers vluchtten massaal via Hongarije en Tsjechoslowakije. Toen protesten uitbraken, durfden de leiders niet meer te schieten. Op 3 oktober 1990 kwam de Duitse hereniging.

Realiteit-check: De hereniging kostte miljarden en veel Oost-Duitsers werden werkloos. Sommigen kregen Ostalgie - heimwee naar de DDR.

Geschiedenis samenvatting periode 4
Hoofdstuk 59.1-De Eerste Wereldoorlog
Ka:
- het voeren van twee wereldoorlogen
- verwoesting op niet eer

Welvaart, Cultuur en Maatschappelijke Verandering

Na WO2 ontstond in de westerse wereld ongekende welvaart. De consumptiemaatschappij betekende dat bezit je status bepaalde. Door automatisering verdwenen veel banen, maar er ontstond een postindustriële samenleving waarin diensten belangrijker werden dan industrie.

De overheid kreeg een veel grotere rol via sociale verzekeringen (WW, WAO, AOW). Dit creëerde de verzorgingsstaat die bestaanszekerheid bood. In 1973 eindigde de groei abrupt door de oliecrisis - de kosten stegen en meer mensen hadden uitkeringen nodig.

De Nederlandse samenleving veranderde dramatisch. De traditionele verzuiling (katholieken, protestanten, liberalen, socialisten) verdween door ontzuiling. Televisie verruimde je blik en maakte je minder afhankelijk van familie en kerk.

Er ontstond een eigen jeugdcultuur met meer vrije tijd, eigen geld en popmuziek. Jongeren ontwikkelden hun eigen normen als hippies en provo's. Emancipatie van vrouwen, secularisering en meer mondigheid vervingen de oude gezagsgetrouwheid. Nederland werd een pluriforme samenleving met verschillende waarden.

Van toen naar nu: Deze periode legde de basis voor onze moderne Nederlandse samenleving met haar diversiteit en welvaart.



We dachten al dat je dit zou vragen...

Wat is de Knowunity AI companion?

Onze AI Companion is een studentgerichte AI-tool die meer biedt dan alleen antwoorden. Gebouwd op miljoenen Knowunity bronnen, biedt het relevante informatie, gepersonaliseerde studieplannen, quizzes en inhoud direct in de chat, aangepast aan jouw individuele leertraject.

Waar kan ik de Knowunity-app downloaden?

Je kunt de app downloaden via Google Play Store en Apple App Store.

Is Knowunity echt gratis?

Dat klopt! Geniet van gratis toegang tot leerinhoud, maak contact met medestudenten en krijg directe hulp – alles binnen handbereik.

Kan je niet vinden wat je zoekt? Ontdek andere vakken.

Studenten zijn dol op ons — en jij ook.

4.9/5

App Store

4.8/5

Google Play

De app is heel makkelijk te gebruiken en goed ontworpen. Ik heb tot nu toe alles kunnen vinden waar ik naar zocht en heb veel kunnen leren van de presentaties! Ik ga de app zeker gebruiken voor een schoolopdracht! En natuurlijk helpt het ook veel als inspiratie.

Stefan S

iOS gebruiker

Deze app is echt geweldig. Er zijn zoveel aantekeningen en hulpmiddelen [...]. Mijn probleemvak is bijvoorbeeld Frans, en de app heeft zoveel opties voor hulp. Dankzij deze app ben ik beter geworden in Frans. Ik zou het iedereen aanraden.

Samantha Klich

Android gebruiker

Wow, ik ben echt onder de indruk. Ik probeerde de app gewoon omdat ik hem vaak geadverteerd had gezien en was absoluut verbaasd. Deze app is DE HULP die je wilt voor school en bovenal biedt hij zoveel dingen, zoals oefeningen en factsheets, die mij persoonlijk HEEL erg hebben geholpen.

Anna

iOS gebruiker

Beste app ter wereld! geen woorden want het is te goed

Thomas R

iOS gebruiker

Gewoon geweldig. Laat me 10x beter leren, deze app is een vlotte 10/10. Ik raad het iedereen aan. Ik kan aantekeningen bekijken en zoeken. Ik kan ze opslaan in de vakmap. Ik kan ze altijd herhalen als ik terugkom. Als je deze app nog niet hebt geprobeerd, mis je echt iets.

Basil

Android gebruiker

Deze app heeft me zoveel zekerder gemaakt over mijn examenvoorbereiding, niet alleen door mijn zelfvertrouwen te boosten met functies waarmee je contact kunt maken met anderen en je minder alleen voelt, maar ook door de manier waarop de app zelf erop gericht is je beter te laten voelen. Het is makkelijk om doorheen te navigeren, leuk om te gebruiken, en nuttig voor iedereen die op welke manier dan ook worstelt.

David K

iOS gebruiker

De app is gewoon geweldig! Ik hoef alleen maar het onderwerp in de zoekbalk in te voeren en ik krijg supersnel antwoord. Ik hoef geen 10 YouTube-video's te kijken om iets te begrijpen, dus ik bespaar tijd. Zeer aanbevolen!

Sudenaz Ocak

Android gebruiker

Op school was ik echt slecht in wiskunde, maar dankzij de app gaat het nu veel beter. Ik ben zo dankbaar dat jullie de app hebben gemaakt.

Greenlight Bonnie

Android gebruiker

zeer betrouwbare app om je ideeën over wiskunde, Engels en andere gerelateerde onderwerpen in je werk te helpen en te ontwikkelen. gebruik deze app alsjeblieft als je ergens moeite mee hebt, deze app is essentieel daarvoor. had ik maar eerder een review geschreven. en het is ook gratis dus maak je daar geen zorgen over.

Rohan U

Android gebruiker

Ik weet dat veel apps nepaccounts gebruiken om hun reviews op te krikken maar deze app verdient het allemaal. Eerst haalde ik een 4 voor mijn Engels examens en deze keer kreeg ik een 7. Ik wist niet eens van deze app tot drie dagen voor het examen en het heeft ENORM geholpen. Vertrouw me alsjeblieft en gebruik het want ik weet zeker dat jij ook vooruitgang zult zien.

Xander S

iOS gebruiker

DE QUIZZES EN FLASHCARDS ZIJN ZO NUTTIG EN IK VIND DE SCHOOLGPT GEWELDIG. HET IS OOK LETTERLIJK ZOALS CHATGPT MAAR SLIMMER!! HEEFT ME OOK GEHOLPEN MET MIJN MASCARA PROBLEMEN!! EN OOK MET MIJN ECHTE VAKKEN! DUHHH 😍😁😲🤑💗✨🎀😮

Elisha

iOS gebruiker

Deze app is echt de beste. Ik vind herhaling zo saai maar deze app maakt het zo makkelijk om alles te organiseren en dan kun je de gratis AI vragen om jezelf te testen, zo goed en je kunt makkelijk je eigen spullen uploaden. raad het zeker aan als iemand die nu oefenexamens doet

Paul T

iOS gebruiker

De app is heel makkelijk te gebruiken en goed ontworpen. Ik heb tot nu toe alles kunnen vinden waar ik naar zocht en heb veel kunnen leren van de presentaties! Ik ga de app zeker gebruiken voor een schoolopdracht! En natuurlijk helpt het ook veel als inspiratie.

Stefan S

iOS gebruiker

Deze app is echt geweldig. Er zijn zoveel aantekeningen en hulpmiddelen [...]. Mijn probleemvak is bijvoorbeeld Frans, en de app heeft zoveel opties voor hulp. Dankzij deze app ben ik beter geworden in Frans. Ik zou het iedereen aanraden.

Samantha Klich

Android gebruiker

Wow, ik ben echt onder de indruk. Ik probeerde de app gewoon omdat ik hem vaak geadverteerd had gezien en was absoluut verbaasd. Deze app is DE HULP die je wilt voor school en bovenal biedt hij zoveel dingen, zoals oefeningen en factsheets, die mij persoonlijk HEEL erg hebben geholpen.

Anna

iOS gebruiker

Beste app ter wereld! geen woorden want het is te goed

Thomas R

iOS gebruiker

Gewoon geweldig. Laat me 10x beter leren, deze app is een vlotte 10/10. Ik raad het iedereen aan. Ik kan aantekeningen bekijken en zoeken. Ik kan ze opslaan in de vakmap. Ik kan ze altijd herhalen als ik terugkom. Als je deze app nog niet hebt geprobeerd, mis je echt iets.

Basil

Android gebruiker

Deze app heeft me zoveel zekerder gemaakt over mijn examenvoorbereiding, niet alleen door mijn zelfvertrouwen te boosten met functies waarmee je contact kunt maken met anderen en je minder alleen voelt, maar ook door de manier waarop de app zelf erop gericht is je beter te laten voelen. Het is makkelijk om doorheen te navigeren, leuk om te gebruiken, en nuttig voor iedereen die op welke manier dan ook worstelt.

David K

iOS gebruiker

De app is gewoon geweldig! Ik hoef alleen maar het onderwerp in de zoekbalk in te voeren en ik krijg supersnel antwoord. Ik hoef geen 10 YouTube-video's te kijken om iets te begrijpen, dus ik bespaar tijd. Zeer aanbevolen!

Sudenaz Ocak

Android gebruiker

Op school was ik echt slecht in wiskunde, maar dankzij de app gaat het nu veel beter. Ik ben zo dankbaar dat jullie de app hebben gemaakt.

Greenlight Bonnie

Android gebruiker

zeer betrouwbare app om je ideeën over wiskunde, Engels en andere gerelateerde onderwerpen in je werk te helpen en te ontwikkelen. gebruik deze app alsjeblieft als je ergens moeite mee hebt, deze app is essentieel daarvoor. had ik maar eerder een review geschreven. en het is ook gratis dus maak je daar geen zorgen over.

Rohan U

Android gebruiker

Ik weet dat veel apps nepaccounts gebruiken om hun reviews op te krikken maar deze app verdient het allemaal. Eerst haalde ik een 4 voor mijn Engels examens en deze keer kreeg ik een 7. Ik wist niet eens van deze app tot drie dagen voor het examen en het heeft ENORM geholpen. Vertrouw me alsjeblieft en gebruik het want ik weet zeker dat jij ook vooruitgang zult zien.

Xander S

iOS gebruiker

DE QUIZZES EN FLASHCARDS ZIJN ZO NUTTIG EN IK VIND DE SCHOOLGPT GEWELDIG. HET IS OOK LETTERLIJK ZOALS CHATGPT MAAR SLIMMER!! HEEFT ME OOK GEHOLPEN MET MIJN MASCARA PROBLEMEN!! EN OOK MET MIJN ECHTE VAKKEN! DUHHH 😍😁😲🤑💗✨🎀😮

Elisha

iOS gebruiker

Deze app is echt de beste. Ik vind herhaling zo saai maar deze app maakt het zo makkelijk om alles te organiseren en dan kun je de gratis AI vragen om jezelf te testen, zo goed en je kunt makkelijk je eigen spullen uploaden. raad het zeker aan als iemand die nu oefenexamens doet

Paul T

iOS gebruiker

 

Geschiedenis

59

1 dec 2025

13 pagina's

Geschiedenis van de Wereldoorlogen en Europa

P

Pien Rozenburg

@pienrozenburg

De periode 1914-1945 was een tijd van extreme spanning en verwoesting in Europa. Van de Eerste Wereldoorlog tot de Holocaust - deze jaren bepaalden de koers van de moderne wereld en laten zien hoe snel vrede kan omslaan in chaos.

Geschiedenis samenvatting periode 4
Hoofdstuk 59.1-De Eerste Wereldoorlog
Ka:
- het voeren van twee wereldoorlogen
- verwoesting op niet eer

Meld je aan om de inhoud te zienHet is gratis!

Toegang tot alle documenten

Verbeter je cijfers

Sluit je aan bij miljoenen studenten

Door je aan te melden ga je akkoord met de Servicevoorwaarden en het Privacybeleid

De Eerste Wereldoorlog (1914-1918)

Alles begon met één pistoolschot in Sarajevo. Op 28 juni 1914 werd kroonprins Frans Ferdinand vermoord, en binnen een maand vochten alle Europese grootmachten tegen elkaar. Door een web van bondgenootschappen escaleerde een lokaal conflict tot een wereldoorlog.

De echte oorzaken lagen dieper: nationalisme (trots op je eigen land), militarisme (verheerlijking van het leger), imperialisme (wedloop om koloniën) en een gevaarlijke wapenwedloop. Europa was een kruitvat dat wachtte op een vonk.

De oorlog werd vooral bekend als de loopgravenoorlog. Aan het westelijke front in Frankrijk en België veranderde jaren vrijwel niets - soldaten zaten vastgeklemd in modderige loopgraven. De doorbraak kwam toen Amerika in 1917 meedeed en Rusland juist uitstapte na de communistische revolutie.

Wist je dat: Deze oorlog introduceerde gifgas als massavernietigingswapen, maar het hielp de Duitsers uiteindelijk niet om te winnen.

Geschiedenis samenvatting periode 4
Hoofdstuk 59.1-De Eerste Wereldoorlog
Ka:
- het voeren van twee wereldoorlogen
- verwoesting op niet eer

Meld je aan om de inhoud te zienHet is gratis!

Toegang tot alle documenten

Verbeter je cijfers

Sluit je aan bij miljoenen studenten

Door je aan te melden ga je akkoord met de Servicevoorwaarden en het Privacybeleid

Gevolgen van WO1 en de Economische Crisis

De Vrede van Versailles (1919) vernederde Duitsland compleet. Ze kregen de volledige schuld, moesten enorme schadevergoedingen betalen, verloren 10% van hun grondgebied en mochten nauwelijks nog een leger hebben. Dit zorgde voor woede bij de Duitse bevolking en de Dolkstootlegende ontstond - het verhaal dat Duitsland 'in de rug was gestoken' door politici en joden.

Na een korte periode van bloei (de Roaring Twenties) sloeg het noodlot toe. Op Zwarte Donderdag (24 oktober 1929) stortte de Amerikaanse beurs in. Iedereen verkocht panisch hun aandelen en de crisis verspreidde zich als een olievlek over de wereld.

De Grote Depressie ontstond door overproductie en te veel kopen op krediet. Bedrijven gingen failliet, werkloosheid steeg enorm en de koopkracht zakte weg. Amerika trok geld terug uit Duitsland, waardoor ook Frankrijk en Groot-Brittannië in problemen kwamen.

Belangrijk: Deze crisis maakte de opkomst van Hitler mogelijk - mensen zochten naar extreme oplossingen voor hun problemen.

Geschiedenis samenvatting periode 4
Hoofdstuk 59.1-De Eerste Wereldoorlog
Ka:
- het voeren van twee wereldoorlogen
- verwoesting op niet eer

Meld je aan om de inhoud te zienHet is gratis!

Toegang tot alle documenten

Verbeter je cijfers

Sluit je aan bij miljoenen studenten

Door je aan te melden ga je akkoord met de Servicevoorwaarden en het Privacybeleid

Totalitaire Systemen: Communisme en Fascisme

Drie gevaarlijke ideologieën grepen de macht in verschillende landen. Lenin vestigde in 1917 een communistische dictatuur in Rusland laterdeSovjetUnielater de Sovjet-Unie. Zijn opvolger Stalin forceerde de collectivisatie van de landbouw, wat tot miljoenen doden leidde door hongersnood (Holodomor).

In Italië richtte Mussolini in 1919 de fascistische beweging op, gericht op nationalistische trots en het herstellen van de glorie van het Romeinse Rijk. Hij was minder racistisch dan Hitler, maar wel even gewelddadig tegen tegenstanders.

Adolf Hitler werd in 1933 leider van Duitsland en introduceerde het nationaalsocialisme (nazisme). Dit was het meest extreme systeem: antisemitisch, racistisch en gericht op Duitse superioriteit. Door gelijkschakeling moest iedereen de nazi-ideologie volgen.

Alle drie de systemen waren antidemokratisch en totalitair - de staat controleerde letterlijk alles. Ze gebruikten massaorganisaties, persoonsverheerlijking van de leider en concentratiekampen voor tegenstanders.

Herken de symbolen: Fasces (fascisme), hakenkruis (nazisme), hamer en sikkel (communisme).

Geschiedenis samenvatting periode 4
Hoofdstuk 59.1-De Eerste Wereldoorlog
Ka:
- het voeren van twee wereldoorlogen
- verwoesting op niet eer

Meld je aan om de inhoud te zienHet is gratis!

Toegang tot alle documenten

Verbeter je cijfers

Sluit je aan bij miljoenen studenten

Door je aan te melden ga je akkoord met de Servicevoorwaarden en het Privacybeleid

Propaganda en het Begin van WO2

Totalitaire regimes waren meesters in propaganda. Ze richtten massaorganisaties op zoals de Hitlerjugend voor jongeren en het Arbeidsfront voor arbeiders. Radio was hun belangrijkste wapen - het bereikte miljoenen mensen tegelijk, ook analfabeten.

De Tweede Wereldoorlog begon door de agressie van nazi-Duitsland en Japan. Hitler wilde revanche voor WO1 en lebensraum (leefruimte) in Oost-Europa. Japan viel Pearl Harbor aan op 7 december 1941, waardoor Amerika de oorlog in werd gesleept.

Europa had gefaald om Hitler te stoppen. Amerika koos voor isolationisme en de Volkenbond was zwak. Groot-Brittannië voerde een appeasementpolitiek - conflicten vermijden door toe te geven. Op de Conferentie van München (1938) mocht Hitler het Sudetenland innemen in ruil voor valse beloftes over vrede.

Het keerpunt kwam op 1 september 1939 toen Duitsland Polen binnenvielen. Hitler had een niet-aanvalsverdrag met Stalin gesloten om Polen te verdelen. Nu verklaarden Groot-Brittannië en Frankrijk eindelijk de oorlog.

Feit: De Anschluss (1938) betekende de annexatie van Oostenrijk - Hitler's eerste grote uitbreiding.

Geschiedenis samenvatting periode 4
Hoofdstuk 59.1-De Eerste Wereldoorlog
Ka:
- het voeren van twee wereldoorlogen
- verwoesting op niet eer

Meld je aan om de inhoud te zienHet is gratis!

Toegang tot alle documenten

Verbeter je cijfers

Sluit je aan bij miljoenen studenten

Door je aan te melden ga je akkoord met de Servicevoorwaarden en het Privacybeleid

De Tweede Wereldoorlog en de Holocaust

De oorlog begon met Duitse successen dankzij de Blitzkrieg (bliksemoorlog). Op 10 mei 1940 vielen ze Nederland binnen. Later koos Hitler voor een riskante tweefrontenoorlog tegen zowel het westen als de Sovjet-Unie.

De geallieerden VS,GrootBrittannie¨,SovjetUnieVS, Groot-Brittannië, Sovjet-Unie wonnen uiteindelijk dankzij hun grotere wapenproductie. D-Day (6 juni 1944) bracht Amerikaanse troepen naar Normandië. Op 8 mei 1945 gaf Duitsland zich over, na Hitlers zelfmoord.

De Holocaust toont hoe racisme en discriminatie kunnen leiden tot genocide. Joden werden eerst geïsoleerd in getto's, daarna gedeporteerd via doorgangskampen naar vernietigingskampen zoals Sobibor. Circa 6 miljoen joden werden systematisch vermoord.

Dit genocide begon met vooroordelen en antisemitisme. Joden werden gezien als zondebokken en beschuldigd van allerlei problemen. De Kristalnacht (1938) was het begin van systematische vervolging. De Endlösung (eindoplossing) betekende de complete uitroeiing.

Belangrijke les: De Holocaust laat zien hoe gewone mensen medeplichtig kunnen worden aan genocide door wegkijken en meewerken.

Geschiedenis samenvatting periode 4
Hoofdstuk 59.1-De Eerste Wereldoorlog
Ka:
- het voeren van twee wereldoorlogen
- verwoesting op niet eer

Meld je aan om de inhoud te zienHet is gratis!

Toegang tot alle documenten

Verbeter je cijfers

Sluit je aan bij miljoenen studenten

Door je aan te melden ga je akkoord met de Servicevoorwaarden en het Privacybeleid

De Bezetting van Nederland

Nederland hoopte neutraal te blijven, maar op 10 mei 1940 kwam de Duitse invasie. Na vijf dagen gaf het Nederlandse leger zich over. Seyss-Inquart werd rijkscommissaris en schafte democratie en rechtsstaat af.

Voor veel Nederlanders was het aanvankelijk geen ramp - Duitsers zagen ons als 'Germaans broedervolk'. Maar joodse Nederlanders werden stap voor stap geïsoleerd: ontslag uit banen, aparte scholen, gele ster en uiteindelijk deportatie naar kampen. Slechts 5000 van de gedeporteerde joden keerden terug.

Naarmate de oorlog slechter verliep voor Duitsland, werd de onderdrukking erger. Honderdduizenden mannen moesten naar Duitsland voor dwangarbeid. Na de bevrijding van Zuid-Nederland begon de Hongerwinter (1944-1945) in het westen.

De meeste Nederlanders pasten zich aan, maar er was ook verzet: de Februaristaking (1941), de April-meistaking tegen dwangarbeid en de spoorwegstaking. Ook hielpen veel mensen onderdulkers. Ongeveer 5% was pro-Duits en lid van de NSB onder Anton Mussert.

Vergeet niet: 5 mei 1945 was de bevrijding - ruim 200.000 Nederlanders waren omgekomen.

Geschiedenis samenvatting periode 4
Hoofdstuk 59.1-De Eerste Wereldoorlog
Ka:
- het voeren van twee wereldoorlogen
- verwoesting op niet eer

Meld je aan om de inhoud te zienHet is gratis!

Toegang tot alle documenten

Verbeter je cijfers

Sluit je aan bij miljoenen studenten

Door je aan te melden ga je akkoord met de Servicevoorwaarden en het Privacybeleid

De Republiek van Weimar en Nazi-Duitsland

Na WO1 werd Duitsland de Republiek van Weimar - een parlementaire democratie. Maar het vertrouwen was zwak door de Spartakusopstand (1919), het Verdrag van Versailles en economische problemen. Toen Frankrijk het Roergebied bezette, werd de situatie nog erger.

Het Dawesplan hielp tijdelijk - Amerika leende geld aan Duitsland. Maar na de beurskrach van 1929 werd alles veel erger. Massale werkloosheid en politieke chaos maakten de weg vrij voor extremistische partijen.

Hitler profiteerde perfect van deze chaos. Zijn NSDAP behaalde in 1932 een meerderheid. In zijn boek Mein Kampf (1925) gaf hij joden de schuld van Duitslands nederlaag. Hij beloofde werk, welvaart en een sterke Volksgemeinschaft.

Na de Rijksdagbrand (1933) schafte Hitler via de Machtigingswet de grondwet af en vestigde een totalitaire dictatuur. Joseph Goebbels leidde het ministerie van Propaganda en begon de nazificatie van de samenleving.

Waarschuwing: Hitler kwam aan de macht via democratische verkiezingen - democratie moet altijd worden beschermd tegen extremisme.

Geschiedenis samenvatting periode 4
Hoofdstuk 59.1-De Eerste Wereldoorlog
Ka:
- het voeren van twee wereldoorlogen
- verwoesting op niet eer

Meld je aan om de inhoud te zienHet is gratis!

Toegang tot alle documenten

Verbeter je cijfers

Sluit je aan bij miljoenen studenten

Door je aan te melden ga je akkoord met de Servicevoorwaarden en het Privacybeleid

Duitsland Valt Uiteen en de Koude Oorlog

Na 8 mei 1945 (Stunde Null) moest Duitsland compleet opnieuw beginnen. De geallieerden deelden Duitsland en Berlijn op in vier sectoren. Amerika startte denazificatie - Duitsers werden gedwongen de nazi-misdaden onder ogen te zien.

Europa werd verdeeld in twee invloedssferen: het Westblok (Amerika) en Oostblok SovjetUnieSovjet-Unie. President Truman kondigde de Trumandoctrine af om landen te helpen die door het communisme werden bedreigd. Ook kwam er Marshallhulp voor wederopbouw.

Toen Stalin West-Berlijn blokkeerde (1948), organiseerden de geallieerden een luchtbrug. Stalin wilde geen vliegtuigen neerschieten omdat dat WO3 zou betekenen. In mei 1949 gaf hij op en werd Duitsland definitief gesplitst.

West-Duitsland (BRD) werd kapitalistisch en democratisch onder Konrad Adenauer. Het Wirtschaftswunder (economisch wonder) bracht snelle welvaart. Oost-Duitsland (DDR) werd een communistische dictatuur onder Walter Ulbricht. De Stasi (geheime politie) controleerde iedereen.

Belangrijk: In 1953 sloeg het Rode Leger de volksopstand in Oost-Duitsland neer - dit toonde de harde realiteit van het communisme.

Geschiedenis samenvatting periode 4
Hoofdstuk 59.1-De Eerste Wereldoorlog
Ka:
- het voeren van twee wereldoorlogen
- verwoesting op niet eer

Meld je aan om de inhoud te zienHet is gratis!

Toegang tot alle documenten

Verbeter je cijfers

Sluit je aan bij miljoenen studenten

Door je aan te melden ga je akkoord met de Servicevoorwaarden en het Privacybeleid

De Berlijnse Muur en de Val van het Communisme

In 1961 bouwde Oost-Duitsland de Berlijnse Muur om vluchtelingen tegen te houden. Dit redde de DDR van leegloop, maar symboliseerde ook de verdeelde wereld. Na de Cubacrisis (1962) kwam er détente (ontspanning) tussen VS en Sovjet-Unie.

Willy Brandt werd in 1969 bondskanselier van West-Duitsland en voerde Ostpolitik - betere relaties met Oost-Europa. In 1972 erkenden beide Duitse staten elkaar officieel en mochten West-Duitsers eindelijk naar het oosten reizen.

Het einde kwam toen Gorbatsjov (1985) leider werd van de Sovjet-Unie. Hij introduceerde glasnost (openheid) en perestrojka (hervorming) omdat het slecht ging met de economie. In 1989 (het wonderjaar) vielen alle communistische regimes in Oost-Europa.

De val van de Berlijnse Muur (9 november 1989) was het symbolische einde van de Koude Oorlog. Oost-Duitsers vluchtten massaal via Hongarije en Tsjechoslowakije. Toen protesten uitbraken, durfden de leiders niet meer te schieten. Op 3 oktober 1990 kwam de Duitse hereniging.

Realiteit-check: De hereniging kostte miljarden en veel Oost-Duitsers werden werkloos. Sommigen kregen Ostalgie - heimwee naar de DDR.

Geschiedenis samenvatting periode 4
Hoofdstuk 59.1-De Eerste Wereldoorlog
Ka:
- het voeren van twee wereldoorlogen
- verwoesting op niet eer

Meld je aan om de inhoud te zienHet is gratis!

Toegang tot alle documenten

Verbeter je cijfers

Sluit je aan bij miljoenen studenten

Door je aan te melden ga je akkoord met de Servicevoorwaarden en het Privacybeleid

Welvaart, Cultuur en Maatschappelijke Verandering

Na WO2 ontstond in de westerse wereld ongekende welvaart. De consumptiemaatschappij betekende dat bezit je status bepaalde. Door automatisering verdwenen veel banen, maar er ontstond een postindustriële samenleving waarin diensten belangrijker werden dan industrie.

De overheid kreeg een veel grotere rol via sociale verzekeringen (WW, WAO, AOW). Dit creëerde de verzorgingsstaat die bestaanszekerheid bood. In 1973 eindigde de groei abrupt door de oliecrisis - de kosten stegen en meer mensen hadden uitkeringen nodig.

De Nederlandse samenleving veranderde dramatisch. De traditionele verzuiling (katholieken, protestanten, liberalen, socialisten) verdween door ontzuiling. Televisie verruimde je blik en maakte je minder afhankelijk van familie en kerk.

Er ontstond een eigen jeugdcultuur met meer vrije tijd, eigen geld en popmuziek. Jongeren ontwikkelden hun eigen normen als hippies en provo's. Emancipatie van vrouwen, secularisering en meer mondigheid vervingen de oude gezagsgetrouwheid. Nederland werd een pluriforme samenleving met verschillende waarden.

Van toen naar nu: Deze periode legde de basis voor onze moderne Nederlandse samenleving met haar diversiteit en welvaart.

We dachten al dat je dit zou vragen...

Wat is de Knowunity AI companion?

Onze AI Companion is een studentgerichte AI-tool die meer biedt dan alleen antwoorden. Gebouwd op miljoenen Knowunity bronnen, biedt het relevante informatie, gepersonaliseerde studieplannen, quizzes en inhoud direct in de chat, aangepast aan jouw individuele leertraject.

Waar kan ik de Knowunity-app downloaden?

Je kunt de app downloaden via Google Play Store en Apple App Store.

Is Knowunity echt gratis?

Dat klopt! Geniet van gratis toegang tot leerinhoud, maak contact met medestudenten en krijg directe hulp – alles binnen handbereik.

2

Slimme Tools NIEUW

Zet deze aantekening om in: ✓ 50+ Oefenvragen ✓ Interactieve Flashcards ✓ Volledig Proefexamen ✓ Essay Outlines

Proefexamen
Quiz
Flashcards
Essay

Kan je niet vinden wat je zoekt? Ontdek andere vakken.

Studenten zijn dol op ons — en jij ook.

4.9/5

App Store

4.8/5

Google Play

De app is heel makkelijk te gebruiken en goed ontworpen. Ik heb tot nu toe alles kunnen vinden waar ik naar zocht en heb veel kunnen leren van de presentaties! Ik ga de app zeker gebruiken voor een schoolopdracht! En natuurlijk helpt het ook veel als inspiratie.

Stefan S

iOS gebruiker

Deze app is echt geweldig. Er zijn zoveel aantekeningen en hulpmiddelen [...]. Mijn probleemvak is bijvoorbeeld Frans, en de app heeft zoveel opties voor hulp. Dankzij deze app ben ik beter geworden in Frans. Ik zou het iedereen aanraden.

Samantha Klich

Android gebruiker

Wow, ik ben echt onder de indruk. Ik probeerde de app gewoon omdat ik hem vaak geadverteerd had gezien en was absoluut verbaasd. Deze app is DE HULP die je wilt voor school en bovenal biedt hij zoveel dingen, zoals oefeningen en factsheets, die mij persoonlijk HEEL erg hebben geholpen.

Anna

iOS gebruiker

Beste app ter wereld! geen woorden want het is te goed

Thomas R

iOS gebruiker

Gewoon geweldig. Laat me 10x beter leren, deze app is een vlotte 10/10. Ik raad het iedereen aan. Ik kan aantekeningen bekijken en zoeken. Ik kan ze opslaan in de vakmap. Ik kan ze altijd herhalen als ik terugkom. Als je deze app nog niet hebt geprobeerd, mis je echt iets.

Basil

Android gebruiker

Deze app heeft me zoveel zekerder gemaakt over mijn examenvoorbereiding, niet alleen door mijn zelfvertrouwen te boosten met functies waarmee je contact kunt maken met anderen en je minder alleen voelt, maar ook door de manier waarop de app zelf erop gericht is je beter te laten voelen. Het is makkelijk om doorheen te navigeren, leuk om te gebruiken, en nuttig voor iedereen die op welke manier dan ook worstelt.

David K

iOS gebruiker

De app is gewoon geweldig! Ik hoef alleen maar het onderwerp in de zoekbalk in te voeren en ik krijg supersnel antwoord. Ik hoef geen 10 YouTube-video's te kijken om iets te begrijpen, dus ik bespaar tijd. Zeer aanbevolen!

Sudenaz Ocak

Android gebruiker

Op school was ik echt slecht in wiskunde, maar dankzij de app gaat het nu veel beter. Ik ben zo dankbaar dat jullie de app hebben gemaakt.

Greenlight Bonnie

Android gebruiker

zeer betrouwbare app om je ideeën over wiskunde, Engels en andere gerelateerde onderwerpen in je werk te helpen en te ontwikkelen. gebruik deze app alsjeblieft als je ergens moeite mee hebt, deze app is essentieel daarvoor. had ik maar eerder een review geschreven. en het is ook gratis dus maak je daar geen zorgen over.

Rohan U

Android gebruiker

Ik weet dat veel apps nepaccounts gebruiken om hun reviews op te krikken maar deze app verdient het allemaal. Eerst haalde ik een 4 voor mijn Engels examens en deze keer kreeg ik een 7. Ik wist niet eens van deze app tot drie dagen voor het examen en het heeft ENORM geholpen. Vertrouw me alsjeblieft en gebruik het want ik weet zeker dat jij ook vooruitgang zult zien.

Xander S

iOS gebruiker

DE QUIZZES EN FLASHCARDS ZIJN ZO NUTTIG EN IK VIND DE SCHOOLGPT GEWELDIG. HET IS OOK LETTERLIJK ZOALS CHATGPT MAAR SLIMMER!! HEEFT ME OOK GEHOLPEN MET MIJN MASCARA PROBLEMEN!! EN OOK MET MIJN ECHTE VAKKEN! DUHHH 😍😁😲🤑💗✨🎀😮

Elisha

iOS gebruiker

Deze app is echt de beste. Ik vind herhaling zo saai maar deze app maakt het zo makkelijk om alles te organiseren en dan kun je de gratis AI vragen om jezelf te testen, zo goed en je kunt makkelijk je eigen spullen uploaden. raad het zeker aan als iemand die nu oefenexamens doet

Paul T

iOS gebruiker

De app is heel makkelijk te gebruiken en goed ontworpen. Ik heb tot nu toe alles kunnen vinden waar ik naar zocht en heb veel kunnen leren van de presentaties! Ik ga de app zeker gebruiken voor een schoolopdracht! En natuurlijk helpt het ook veel als inspiratie.

Stefan S

iOS gebruiker

Deze app is echt geweldig. Er zijn zoveel aantekeningen en hulpmiddelen [...]. Mijn probleemvak is bijvoorbeeld Frans, en de app heeft zoveel opties voor hulp. Dankzij deze app ben ik beter geworden in Frans. Ik zou het iedereen aanraden.

Samantha Klich

Android gebruiker

Wow, ik ben echt onder de indruk. Ik probeerde de app gewoon omdat ik hem vaak geadverteerd had gezien en was absoluut verbaasd. Deze app is DE HULP die je wilt voor school en bovenal biedt hij zoveel dingen, zoals oefeningen en factsheets, die mij persoonlijk HEEL erg hebben geholpen.

Anna

iOS gebruiker

Beste app ter wereld! geen woorden want het is te goed

Thomas R

iOS gebruiker

Gewoon geweldig. Laat me 10x beter leren, deze app is een vlotte 10/10. Ik raad het iedereen aan. Ik kan aantekeningen bekijken en zoeken. Ik kan ze opslaan in de vakmap. Ik kan ze altijd herhalen als ik terugkom. Als je deze app nog niet hebt geprobeerd, mis je echt iets.

Basil

Android gebruiker

Deze app heeft me zoveel zekerder gemaakt over mijn examenvoorbereiding, niet alleen door mijn zelfvertrouwen te boosten met functies waarmee je contact kunt maken met anderen en je minder alleen voelt, maar ook door de manier waarop de app zelf erop gericht is je beter te laten voelen. Het is makkelijk om doorheen te navigeren, leuk om te gebruiken, en nuttig voor iedereen die op welke manier dan ook worstelt.

David K

iOS gebruiker

De app is gewoon geweldig! Ik hoef alleen maar het onderwerp in de zoekbalk in te voeren en ik krijg supersnel antwoord. Ik hoef geen 10 YouTube-video's te kijken om iets te begrijpen, dus ik bespaar tijd. Zeer aanbevolen!

Sudenaz Ocak

Android gebruiker

Op school was ik echt slecht in wiskunde, maar dankzij de app gaat het nu veel beter. Ik ben zo dankbaar dat jullie de app hebben gemaakt.

Greenlight Bonnie

Android gebruiker

zeer betrouwbare app om je ideeën over wiskunde, Engels en andere gerelateerde onderwerpen in je werk te helpen en te ontwikkelen. gebruik deze app alsjeblieft als je ergens moeite mee hebt, deze app is essentieel daarvoor. had ik maar eerder een review geschreven. en het is ook gratis dus maak je daar geen zorgen over.

Rohan U

Android gebruiker

Ik weet dat veel apps nepaccounts gebruiken om hun reviews op te krikken maar deze app verdient het allemaal. Eerst haalde ik een 4 voor mijn Engels examens en deze keer kreeg ik een 7. Ik wist niet eens van deze app tot drie dagen voor het examen en het heeft ENORM geholpen. Vertrouw me alsjeblieft en gebruik het want ik weet zeker dat jij ook vooruitgang zult zien.

Xander S

iOS gebruiker

DE QUIZZES EN FLASHCARDS ZIJN ZO NUTTIG EN IK VIND DE SCHOOLGPT GEWELDIG. HET IS OOK LETTERLIJK ZOALS CHATGPT MAAR SLIMMER!! HEEFT ME OOK GEHOLPEN MET MIJN MASCARA PROBLEMEN!! EN OOK MET MIJN ECHTE VAKKEN! DUHHH 😍😁😲🤑💗✨🎀😮

Elisha

iOS gebruiker

Deze app is echt de beste. Ik vind herhaling zo saai maar deze app maakt het zo makkelijk om alles te organiseren en dan kun je de gratis AI vragen om jezelf te testen, zo goed en je kunt makkelijk je eigen spullen uploaden. raad het zeker aan als iemand die nu oefenexamens doet

Paul T

iOS gebruiker